
This article is brought to you by Gentec-EO, a leading manufacturer of laser power measurement solutions.
Telecentric lenses are among the most specialized and misunderstood optical components used in modern imaging systems. While they may resemble conventional lenses at first glance, telecentric lenses are engineered for a completely different purpose: capturing distortion-free, magnification-stable images regardless of object distance.
Their unique optical architecture makes them indispensable in applications where sub-percent accuracy is required, such as industrial metrology, semiconductor inspection, PCB verification, 3D measurement, and high-precision robotics. This article offers a clear, technical but accessible examination of how telecentric lenses work, what makes them different from standard imaging optics, and which lighting configurations unlock their full performance.
What Makes a Lens Telecentric?
A lens is considered telecentric when either the entrance pupil or exit pupil is placed at an optical infinity. This design ensures that the chief rays, i.e., those passing through the center of the aperture, travel parallel to one another rather than converging or diverging.
There are three main types of telecentricity:
Object-Space Telecentric Lenses
These maintain constant magnification even when the object moves closer or farther from the lens.
Key feature: chief rays on the object side are parallel.
Most common use: industrial inspection and metrology.
Image-Space Telecentric Lenses
These prevent magnification change when the image sensor shifts.
Key feature: chief rays on the image side are parallel.
Most common use: precision optical measurement systems, lithography.
Double Telecentric Lenses
Both object and image spaces are telecentric.
Key feature: parallel chief rays on both sides.
Most common use: highest-precision measurement tasks, micron-level dimensional analysis.

Image-space telecentric imaging with the aperture in the front focal plane of the objective. The exit pupil is located at infinity, chief rays after the objective are parallel to the optical axis. Courtesy of Wikipedia.
Telecentric vs. Standard Lenses: What’s the Difference?
Most imaging lenses, such as C-mount, CCTV, or DSLR lenses, produce images with perspective distortion. Objects closer to the lens appear larger, and straight lines may appear curved or skewed due to field-of-view distortion. Telecentric lenses eliminate these issues entirely. The table below summarizes the major differences. Note that specific non-telecentric designs may be optimized for high resolution and/or high measurement accuracy and may outperform telecentric designs, e.g., high-magnification microscope systems. However, in such non-telecentric configurations the field of view (FOV) and the depth of focus (DOF) of the lens will be significantly smaller than in telecentric lens’.
Comparison Table: Telecentric vs. Standard Lenses

Telecentric lenses behave less like “cameras” and more like optical measuring instruments, effectively turning a vision system into a calibrated ruler.

Courtesy of Vision Datum
Why Telecentric Lenses Matter: Core Advantages
Constant Magnification Across Depth
A telecentric lens maintains the same magnification even when the object moves closer to or farther from the lens along the Z-axis (optical axis). In other words, small shifts in object height do not translate into changes in perceived size on the sensor. This is essential in industrial and scientific settings, where perfect positioning is rarely achievable. Parts on a conveyor may wobble, PCBs may sit at slightly different heights, or mechanical tolerances may vary from station to station. With a standard lens, these variations introduce measurement errors because the image size changes with distance. A telecentric lens eliminates this source of uncertainty, ensuring consistent, repeatable dimensional measurements and stable image feature geometry regardless of object placement.
No Perspective Distortion
Parallel chief rays eliminate geometric distortions, allowing telecentric lenses to preserve true object geometry with exceptional fidelity. Because the chief rays travel perpendicular to the sensor plane, shapes do not “stretch,” skew, or change aspect ratio toward the edges of the image. Circular features remain perfectly circular rather than becoming elliptical, straight edges stay straight, and measured dimensions remain consistent across the full field of view. This uniformity is essential in precision metrology, where even small geometric distortions can compromise tolerance checks, defect detection, or automated pass/fail decisions.

High Measurement Accuracy
Telecentric lenses are engineered specifically for precision. Their optical paths, distortion characteristics, and magnification behavior are highly controlled, allowing them to deliver measurement-grade performance that standard lenses often cannot match. Because both the entrance pupil and chief rays behave predictably across the entire field, the lens produces images that are metrically stable, meaning every pixel corresponds to a reliable, repeatable physical dimension. This makes telecentric lenses the preferred choice in applications requiring exceptionally tight tolerances, including:
Micron-level dimensional control: Even small variations in part height or placement do not affect magnification, enabling accurate metrology in automated production lines.
Edge detection: Telecentric illumination produces crisp, high-contrast edges with minimal blurring or shadowing, supporting precise edge-finding algorithms used in machine vision.
Thickness and gap measurement: Because magnification does not drift with object position, telecentric imaging is ideal for inspecting multilayer components, adhesive gaps, film thickness, and mechanical stack-ups.
Automated pass/fail inspection: Telecentric optics provide the consistency required for statistical process control, allowing inspection software to reliably classify features based on dimensional thresholds.
Whether used for high-precision gauging, 2D/3D inspection, or inline quality assurance, telecentric lenses deliver measurement stability that is foundational for modern machine vision accuracy.
Large Usable Depth of Field
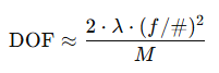
Telecentric lenses are highly valued in optical metrology and precision imaging because they provide a large usable Depth of Field (DOF) while maintaining minimal perspective errors. The DOF defines the range along the optical axis in which the image remains acceptably sharp. For telecentric systems, this is particularly important because the goal is often to measure dimensions or inspect features with high accuracy over varying object heights.
While telecentric lenses inherently offer a larger DOF compared to standard lenses, the actual achievable DOF depends primarily on two parameters:
F-number (f/#):
The f-number of a lens governs the size of the aperture. A higher f-number (smaller aperture) increases DOF because the light rays entering the lens are more collimated, reducing the blur caused by defocus. However, increasing the f-number also decreases the light throughput, which may necessitate longer exposure times or more powerful illumination.Magnification (M):
Higher magnification reduces DOF, because the lens must resolve finer details and the depth over which features remain in focus becomes shallower. Conversely, lower magnification increases DOF, allowing more of the object’s height variation to remain in focus.
Mathematically, for a telecentric lens, the DOF can be approximated by:

where λ is the wavelength of light used, f/# is the f-number, and M is the magnification. This shows clearly that both aperture size and magnification directly influence how much of the object can be sharply imaged.
In practice, achieving the required DOF for precision inspection may also require balancing illumination intensity, sensor resolution, and system magnification, especially for high-speed or high-precision applications.
So, telecentric lenses can maintain dimensional accuracy over an unusually large depth range, even when objects move closer or farther from the lens. While the fine image focus may soften slightly at the extreme ends of this range, the measured geometry remains stable. This is because object magnification does not change with distance in a telecentric optical path.
In practical terms, this means:
Parts with height variations still appear the correct size
Slight fixture misalignments do not compromise metrology
Systems can inspect 3D components or stacked layers without re-focusing
Machine builders can tolerate more mechanical play without sacrificing accuracy
This combination of optical tolerance and measurement consistency is a major reason telecentric lenses dominate high-precision industrial imaging, especially where throughput is high and perfect part positioning cannot be guaranteed.
Enables Reliable Edge Detection
Telecentric lenses excel in machine vision tasks where detecting edges with high repeatability is essential. Because the incoming chief rays are parallel and the magnification remains stable across depth, the lens produces an image with minimal geometric distortion. This orthographic projection ensures that edges appear exactly where they should, without the stretching, scaling, or angular skew that conventional lenses often introduce.
For automated inspection systems, this stability is crucial. Edge-based algorithms rely on consistent pixel transitions to identify boundaries, measure features, or detect defects. Telecentric imaging minimizes noise from perspective changes or object tilt, allowing software to lock onto edges with far greater reliability. The result is improved measurement precision, fewer false rejects, and smoother integration with downstream automation.
Applications: Where Telecentric Lenses Excel
Telecentric lenses have become essential in fields where imaging must remain precise, reliable, and mathematically consistent. Key applications include:
Precision Metrology
Dimensional measurement of machined components
Checking tolerances and geometric accuracy
Measuring inner/outer diameters, angles, thicknesses
Electronics and Semiconductor Inspection
PCB trace width measurement
Die bonding alignment
IC packaging inspection
Wafer-level defect detection
Medical and Biomedical Imaging
Capsule inspection
Medical device manufacturing QA
Microfluidics channel measurement
Machine Vision and Robotics
Object recognition where perspective distortion is unacceptable
Precise pick-and-place alignment
Robotic guidance for small components
Automotive Manufacturing
Inspection of connectors, fasteners, gaskets
Dimensional QC of precision-milled metal parts
Laboratory and Scientific Imaging
Micro-CT calibration
Bio sample imaging for morphological analysis
In short, telecentric lenses are the go-to solution wherever accuracy beats aesthetics.
Lighting for Telecentric Imaging: Choosing the Right Illumination
Telecentric lenses often require lighting solutions tailored for their optical geometry. Because of their parallel-ray design, many standard lighting methods simply do not produce adequate contrast. Below are the most common lighting types used with telecentric optics.
Coaxial Illumination
Coaxial (on-axis) lighting directs light along the same optical path as the imaging system. This configuration is best for:
reflective surfaces
flat components
detecting scratches, engraving, or surface defects
Telecentric lenses pair exceptionally well with coaxial illumination for uniform lighting across the field.
Backlighting
Backlighting is often used with telecentric systems to produce crisp silhouettes. This configuration is best for:
measuring edges
diameter measurement
thickness inspection
Telecentric backlight illuminators produce parallel light rays that match the telecentric optical geometry.
Ring Lights
Ring lights create soft, uniform illumination around the lens. This configuration is best for:
diffuse and/or complex surfaces
reducing shadowing
general machine vision
Ring lights can work with telecentric lenses but may cause glare on polished metals unless carefully adjusted.
Dome (Diffuse) Illumination
Dome lights scatter illumination from multiple angles to minimize specular reflections. This configuration is best for:
curved, glossy, or highly reflective surfaces
parts with complex geometries
Dome lighting is frequently combined with telecentric lenses when traditional coaxial methods fail to eliminate hotspots.
Line Scan Illumination
Telecentric lenses can be used in line-scan application for:
High-intensity LED bars
Collimated line lights
Laser line illumination
These ensure uniform lighting as the object moves past a conveyor.

Telecentric lens system with coaxial illumination (Courtesy of Sill Optics)
How to Choose a Telecentric Lens: Key Considerations
Magnification and Field of View
Selecting the right telecentric lens begins with determining the required magnification, typically expressed as 0.5×, 1×, 2×, and so on. Magnification directly determines how large the object appears on the sensor and sets the stage for measurement accuracy. Higher magnification provides finer spatial resolution, making it easier to detect small dimensional deviations, but it also narrows the field of view and the depth of field. This trade-off is central to system design. A 2× telecentric lens may resolve micron-scale features with impressive precision, yet it may only capture a small region of the part. Conversely, a 0.5× lens provides a wider view suitable for inspecting larger components, though with slightly reduced measurement sensitivity.
Because telecentric optics maintain constant magnification across depth, the selected magnification behaves predictably once set. Engineers can confidently match the lens to the sensor size, required feature resolution, and physical working distance. In high-precision environments, such as gauging connector pins, verifying machined parts, or measuring tiny medical components, proper magnification selection ensures the lens delivers both the coverage and accuracy the application demands.
Working Distance
Telecentric lenses generally require, and provide, longer working distances compared to standard fixed-focal-length lenses. This extra space between the front optical element and the object is not just a convenience but an essential part of how telecentric optics maintain parallel chief rays and stable magnification. A longer working distance prevents mechanical interference with parts moving on conveyors, automated pick-and-place systems, or fixtures that cannot be positioned close to the lens. It also allows room for lighting modules such as coaxial illuminators, structured-light projectors, or ring lights, which often need to sit directly in front of the lens.
When designing a machine vision station, it’s important to check whether the chosen telecentric lens can physically fit into the available envelope. Some models with high magnification or large fields of view can be quite large in diameter or length. At the same time, longer working distances make integration easier in applications that require protective enclosures, temperature-controlled inspection chambers, or mechanical shielding from debris. Proper alignment becomes simpler as well, because the lens has a larger “viewing tunnel” to the object, reducing the risk of collisions or shadowing.
Sensor Size Compatibility
Ensure the lens matches the sensor size, e.g., 1/2″, 2/3″, 1″, 4/3″, or larger.
Depth of Field Requirements
Telecentric lenses offer large usable DOF, but performance depends on f-number and magnification.
Lighting Integration
Choose a lens that supports your illumination method or includes a coaxial port for on-axis lighting.
Conclusion
Telecentric lenses play a vital role in modern inspection and metrology systems. Their ability to deliver distortion-free imaging, consistent magnification, and reliable dimensional accuracy makes them irreplaceable in industrial environments demanding precision. When paired with the appropriate illumination, such as coaxial, telecentric backlighting, or dome lighting, these lenses unlock performance capabilities that standard optics simply cannot match.
Whether you’re building a high-precision quality control station, a semiconductor inspection system, or a robotic alignment tool, telecentric lenses provide the optical stability needed to achieve consistent, trustworthy measurements at scale.
